Reactive Dyes Manufacturer

The present invention relates to novel reactive dyes, and more particularly, to a novel reactive dye for a fiber having hydroxyl groups or amino groups in exhausting dyeing, cold pad batch dyeing, continuous dyeing, printing and digital printing.

The reactive dye of the present invention has great build-up property. In comparison with the commercial dyes, the reactive dye of the present invention has better build-up property, and has better reproducibility and dyeing fastness in mid-temperature reactive dyes exhausting dyeing and cold pad batch dyeing.

DESCRIPTION OF THE PREFERRED EMBODIMENTS

The reactive dyes of the present invention can be prepared by the conventional methods, and there is no limitation to the order of the steps. The chromophore can be prepared, and then the dye can be reactive dyes synthesized. Reactive dyes Alternatively, the chromophore can be synthesized during the preparation of the dye.

The reactive dye of the present invention can be applicable to fiber materials, especially cellulose fiber materials, reactive dyes and applicable for dyeing or printing of fiber materials having the cellulose fiber. The fiber materials can be, but not limited to, natural or regenerated cellulose fibers such as cotton, hemp, flax, ramie, viscose rayon or reactive dyes fiber materials having cellulose fibers. The reactive dye of the present invention can be also applicable for dyeing and printing of fiber blends having hydroxycellulose fibers.

The reactive dye of the present invention can be fixed on fibers in aqueous dye solution and printing paste, reactive dyes and can be used for dyeing and printing in exhausting dyeing, reactive dyes continuous dyeing, cold pad batch dyeing, printing or digital printing.

The present invention, the dyeing or printing can be perlormed acconting to the conventional methods.

The reactive dyes of the investion has great build-up property, water cleaning property and fastness. The reactive dye of claim 1, wherein when n is 0, X is carboxypyridinium, and R1, R2 and R3 are independently reactive

dyes hydrogen, C1-4-alkyl, C1-4,-alkylcarbonyl, benzyl, C1-4,-hhy- droxyalkyl or sulfobenzy.

The reactive dye of claim 2, reactive dyes wherein X is carboxypyridinium, and R1, R2, and R3, are independently hydrogen, C1-4,-alky1, C1-4_hydroxyalkyl or sulfobenzyl.

The reactive dye of claim 1, wherein when n is 1, X is carboxypyridinium, R1, R2, and R3, are independently reactive dyes hydrogen, C,-alkyl, C,-galkylcarbonyL, benzy1, C1-4,_ahydroxyalky or sulfobenzy1, and Q, and Q, are independently hydrogen, C1-4,.alky1, C1-4,_alkoxy, or C1,.alkanoylamino.

b2.

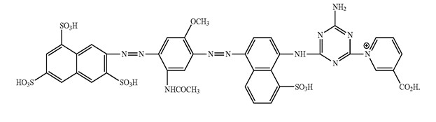
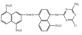
Reactive dyes of pyridine-3-carboxylic acid were prepared according to Embodiments 1 to 4. The dyes had high purity, great build-up property and great fastness.